Джемпер с красивым ажурным узором. Спицы.
Размеры: 36/38 (42/44) 48/50.
Для вязания нам потребуется 550 (600) 650 г тёмно-красной пряжи: 50% хлопок, 50% соя; 135 м/50 г. Спицы № 2,5 и 3,5. А также круговые спицы № 2,5.
УЗОРЫ ♥
Узор 1: резинка = ряды в прямом и обратном направлении (четное число петель). Изнаночные ряды: кромочная, попеременно 1 лицевая скрещенная, 1 изнаночная, кромочная. Лицевые ряды: кромочная, попеременно 1 лицевая, 1 изнаночная скрещенная, кромочная. Круговые ряды: попеременно 1 лицевая скрещенная, 1 изнаночная.
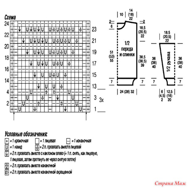
Узор 2: ажурный узор (число петель кратно 19 + 2 кромочные) = вязать согл. схеме. На ней даны все ряды. В лицевых рядах начать с петли перед правой стрелкой, постоянно повторять раппорт из 19 п. между стрелками, закончить петлей после левой стрелки; в изнаночных рядах вязать наоборот. Выполнить 3 раза 1-4-й р. (= 12 р.), затем выполнить 1 раз 13-24-й р. Повторять 1-24-й р.
Плотность вязания: узор 2 — 24 п. х 34 р. = 10 х 10 см.
ОПИСАНИЕ ♥
Спинка: на спицы № 2,5 набрать 100 (120) 138 п. и для нижней планки связать 7 см = 25 р. узором 1, при этом начать с 1 изнаночного ряда и в последнем ряду планки равномерно прибавить 16 (15) 16 п. = 116 (135) 154 п. Продолжить работу на спицах № 3,5 узором 2. Через 57 см = 194 р. (59 см = 200 р.) 61 см = 208 р. от нижней планки закрыть с обеих сторон для плечевых скосов 1 х 8 (11) 14 п. и в каждом 2-м р. 1 х 8 п. и 2 х 9 п. (3 х 11 п.) 3 х 13 п. Одновременно с началом вязания плечевых скосов закрыть для горловины средние 44 (43) 44 п. и обе стороны закончить раздельно. Для скругления горловины по внутреннему краю закрыть в следующем 2-м р. 1 х 2 п.
Перед: вязать как спинку, но для более глубокой горловины уже через 51 см = 174 р. (53 см = 180 р.) 55 см = 188 р. от нижней планки закрыть средние 14 (13) 14 п. и обе стороны закончить раздельно. Для скругления горловины по внутреннему краю закрыть в каждом 2-м р. 1 х 4 п., 2 х 3 п., 1 х 2 п., 3 х 1 п. и в каждом 4-м р. 2 х 1 п.
Рукава: на спицы № 2,5 набрать для каждого рукава по 52 (56) 60 п. и для планки связать 7 см = 25 р. узором 1, при этом начать с 1 изнаночного ряда и в последнем ряду планки равномерно прибавить 26 (22) 18 п. = 78 п. Продолжить работу на спицах № 3,5 узором 2. Для скосов прибавить с обеих сторон в 9-м р. от планки 1 х 1 п., затем в каждом 18-м р. 5 х 1 п. (в каждом 12-м р. 9 х 1 п.) в каждом 8-м р. 7 х 1 п. и в каждом 10-м р. 6 х 1 п. согл. узору = 90 (98) 106 п. Через 36 см = 122 р. (38 см = 130 р.) 40 см = 136 р. от планки закрыть петли.
Сборка: выполнить плечевые швы. Для бейки горловины на круговые спицы набрать по краю горловины 102 п. и связать 13 круг. р. узором 1. Затем закрыть петли. Вшить рукава. Выполнить швы рукавов и боковые швы.
Схема узора и выкройка:
https://www.liveinternet.ru/users/5192151/post513256553/






Комментарии
Вставка изображения
Можете загрузить в текст картинку со своего компьютера: